Задать свой вопрос   *более 50 000 пользователей получили ответ на «Решим всё»

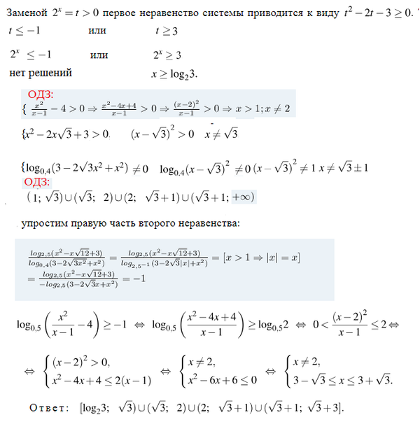
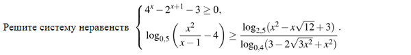
Задача 37287 Решить систему неравенств (15 номер ЕГЭ...

Условие

Решить систему неравенств (15 номер ЕГЭ профиль)

математика 10-11 класс 1611

Все решения

Вопросы к решению (1)

Написать комментарий

Меню

Присоединяйся в ВК