Задать свой вопрос   *более 50 000 пользователей получили ответ на «Решим всё»

Задача 3725 Векторы vector{a} и vector{b} образуют...

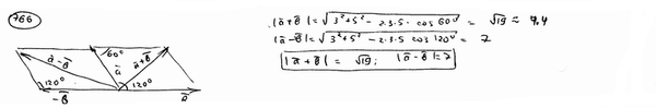
Условие

Векторы vector{a} и vector{b} образуют угол phi=1200, причем |vector{a}|=3 и |vector{b}|=5. Определить |vector{a} + vector{b}| и |vector{a} - vector{b}|.

математика ВУЗ 1530

Решение



Ответ: В решение

Написать комментарий

Меню

Присоединяйся в ВК