Задать свой вопрос   *более 50 000 пользователей получили ответ на «Решим всё»

Задача 37249 Каково минимально возможное расстояние...

Условие

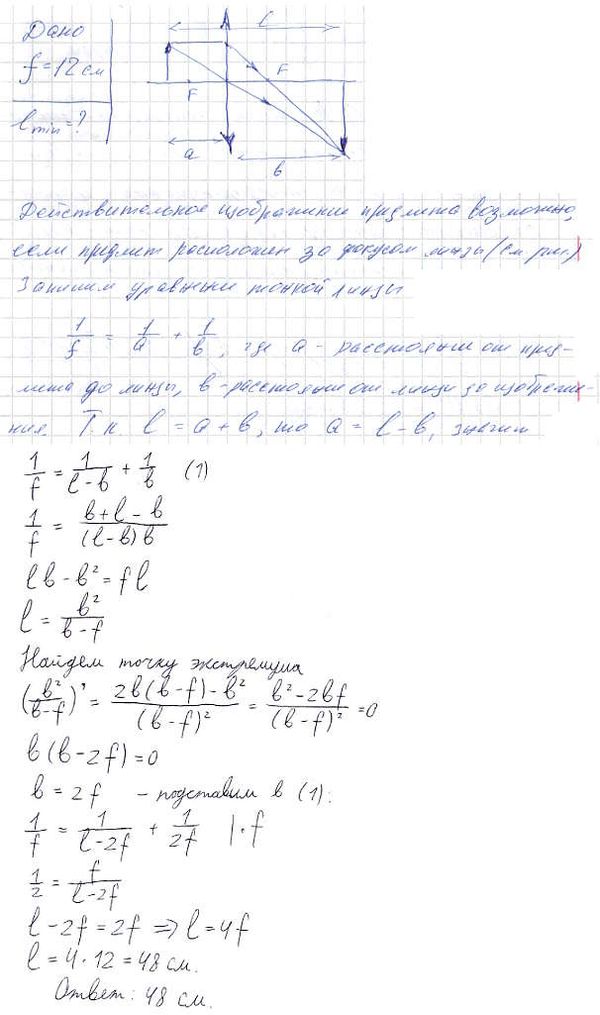
Каково минимально возможное расстояние между предметом и его действительным изображением для собирающей линзы с фокусным расстоянием F?

физика 8-9 класс 7153

Решение

Практически такая же:"Каково наименьшее возможное расстояние l между предметом и его действительным изображением, создаваемым собирающей линзой с главным фокусным расстоянием f=12 см?"
Решение:

Написать комментарий

Меню

Присоединяйся в ВК