Задать свой вопрос   *более 50 000 пользователей получили ответ на «Решим всё»

Задача 37229 Вычислить площадь фигуры ограниченной...

Условие

Вычислить площадь фигуры ограниченной линиями

математика ВУЗ 697

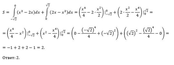
Решение

Находим абсциссы точек пересечения
y=x^3 и y=2x

x^3=2x

x*(x^2-2)=0

x=0 или х=± sqrt(2)

S= 2S_(1)=2* ∫ ^(sqrt(2))_(0)(2x-x^3)dx=

=2*(x^2-(x^4/4))|^(sqrt(2))_(0)=2*((sqrt(2))^2-(sqrt(2))^4/4)=

=2*(2-(4/4))=2*(2-1)= [b]2[/b]

Все решения

Написать комментарий

Меню

Присоединяйся в ВК