Задать свой вопрос
*более 50 000 пользователей получили ответ на «Решим всё»
Задача 37223
...
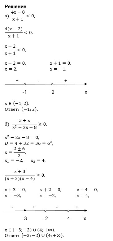
Условие
vk301356398
2019-05-18 17:24:42
а) 4x-8/x+1 ∠0
б) 3+x/x^(2)-2x-8 ≥0
Метод интервала
математика ВУЗ
769
Решение
u821511235
2019-05-18 18:47:34
★
Написать комментарий
Меню
Решим всё
Найти задачу
Категории
Статьи
Тесты
Архив задач
Присоединяйся в ВК