Задать свой вопрос
*более 50 000 пользователей получили ответ на «Решим всё»
Задача 37220
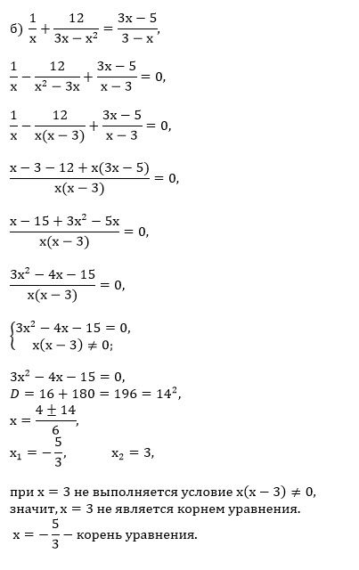
a) 3/x^(2)-6x+9 - 6/x^(2)-9 =1/x+3...
Условие
vk301356398
2019-05-18 17:17:38
a) 3/x^(2)-6x+9 - 6/x^(2)-9 =1/x+3 +Проверка
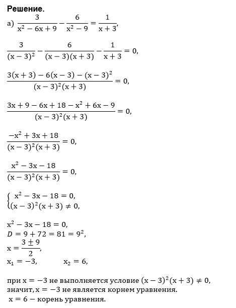
б) 1/x +12/3x-x^(2) =3x-5/3-x +Проверка
математика ВУЗ
1143
Решение
u821511235
2019-05-18 21:07:14
★
Написать комментарий
Меню
Решим всё
Найти задачу
Категории
Статьи
Тесты
Архив задач
Присоединяйся в ВК