Задать свой вопрос
*более 50 000 пользователей получили ответ на «Решим всё»
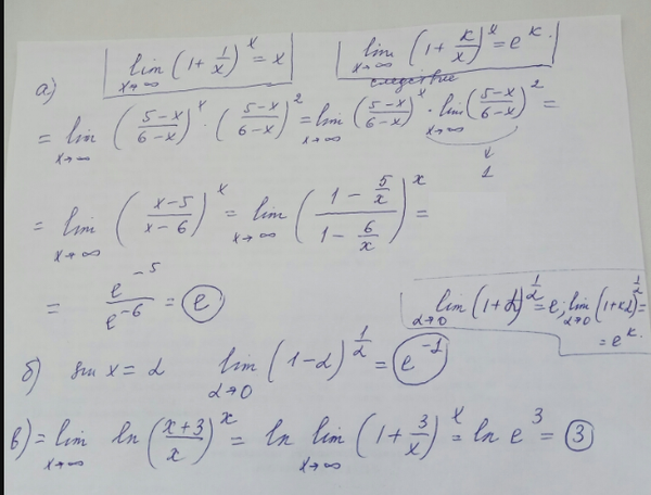
Задача 37206
Решить, используя второй замечательный...
Условие
vk305708338
2019-05-18 13:40:24
Решить, используя второй замечательный предел
предмет не задан
745
Решение
sova
2019-05-19 09:22:54
★
Написать комментарий
Меню
Решим всё
Найти задачу
Категории
Статьи
Тесты
Архив задач
Присоединяйся в ВК