Задать свой вопрос   *более 50 000 пользователей получили ответ на «Решим всё»

Задача 37182 sqrt(4cos2x-2sin2x) = 2cosx...

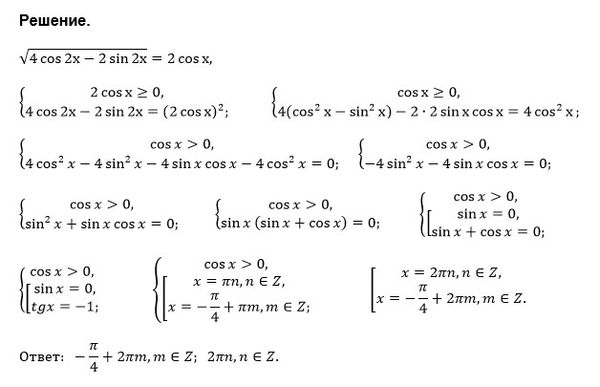
Условие

sqrt(4cos2x-2sin2x) = 2cosx

математика 10-11 класс 971

Решение

ОДЗ: [b]cosx ≥ 0[/b]

Возводим в квадрат

4 cos2x-2sin2x=4cos^2x

2сos^2x=1+cos2x

тогда уравнение принимает вид:

4 cos2x-2sin2x=2*(1+cos2x)

2cos2x-2sin2x=2


cos2x-sin2x=1

cos2x=sin((π/2)-2x)

sin((π/2)-2x)- sin2x=1

Формула sin α - sin β=....

2sin((π/4)-2x)*cos(π/4)=1

sin((π/4)-2x)=1/sqrt(2)

sin(2x-(π/4))=-1/sqrt(2)

2x-(π/4)=(-1)^(k)*(-π/4) +πk, k ∈ Z

2x=(π/4)+(-1)^(k)*(-π/4) +πk, k ∈ Z

x= [b](π/8)+(-1)^(k)*(-π/8) +(π/2)*k, k ∈ Z[/b]- о т в е т.


Но лучше решение уравнения sin(2x-(π/4))=-1/sqrt(2)
записать в виде серии двух ответов ( см. рис.):

2x-(π/4)= [b](-π/4) +2πn, n ∈ Z[/b] или 2х-(π/4)= [b](-3π/4) +2πm, m ∈ Z
[/b]
2x=2πn, n ∈ Z или 2х-(π/4)=(-3π/4) +2πm, m ∈ Z

x=πn, n ∈ Z или 2x=(-π/2)+2πm, m ∈ Z ⇒ x=(-π/4)+πm, m ∈ Z

С учетом ОДЗ: cosx≥ 0

О т в е т. 2*πn, n ∈ Z ; (-π/4)+2πm, m ∈ Z

Все решения

Написать комментарий

Меню

Присоединяйся в ВК