Задать свой вопрос
*более 50 000 пользователей получили ответ на «Решим всё»
Задача 37170
...
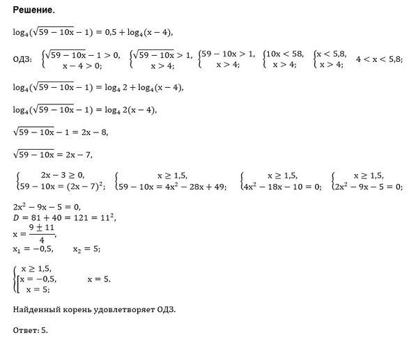
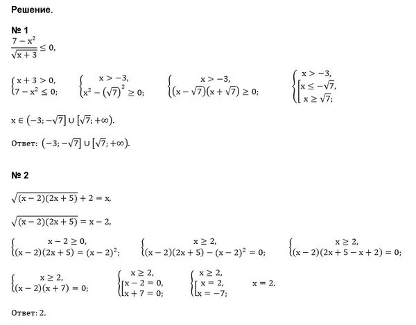
Условие
nastya11
2019-05-17 13:38:06
(7-x^2)/sqrt(x+3) ≤ 0
sqrt((x-2)(2x+5))+2=x
математика 10-11 класс
844
Все решения
u821511235
2019-05-17 14:07:26
vk370051121
2019-05-17 14:08:49
Написать комментарий
Меню
Решим всё
Найти задачу
Категории
Статьи
Тесты
Архив задач
Присоединяйся в ВК