Задать свой вопрос   *более 50 000 пользователей получили ответ на «Решим всё»

Задача 3713 Дано уравнение параболы y^2 = 2px....

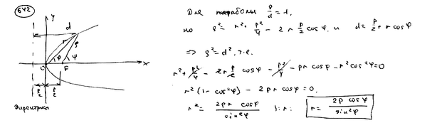
Условие

Дано уравнение параболы y^2 = 2px. Составить ее полярное уравнение при условии, что направление полярной оси совпадает с положительным направлением оси абсцисс, а полюс находится в вершине параболы.

математика ВУЗ 4322

Решение



Ответ: В решение

Написать комментарий

Меню

Присоединяйся в ВК