Задать свой вопрос   *более 50 000 пользователей получили ответ на «Решим всё»

Задача 3712 Дано уравнение гиперболы x^2/a^2 -...

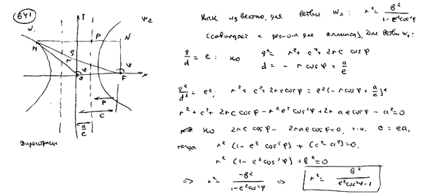
Условие

Дано уравнение гиперболы x^2/a^2 - y^2/b^2 = 1. Составить ее полярное уравнение при условии, что направление полярной оси совпадает с положительным направлением оси абсцисс, а полюс находится в центре гиперболы.

математика ВУЗ 3045

Решение



Ответ: В решение

Написать комментарий

Меню

Присоединяйся в ВК