Задать свой вопрос   *более 50 000 пользователей получили ответ на «Решим всё»

Задача 3711 Дано уравнение эллипса x^2/a^2 + y^2/b^2...

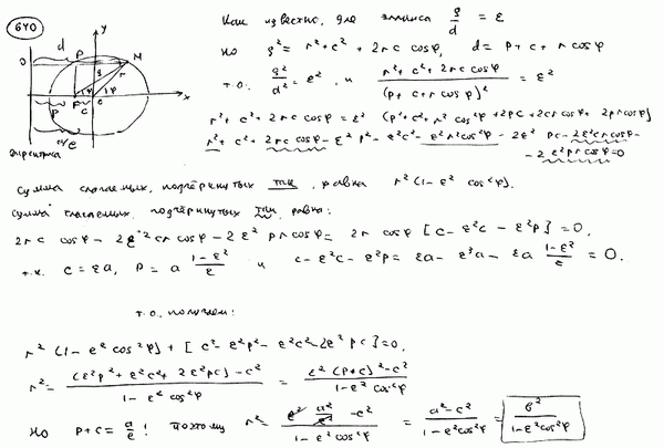
Условие

Дано уравнение эллипса x^2/a^2 + y^2/b^2 = 1. Составить его полярное уравнение при условии, что направление полярной оси совпадает с положительным направлением оси абсцисс, а полюс находится в центре эллипса.

математика ВУЗ 3901

Решение



Ответ: В решение

Написать комментарий

Меню

Присоединяйся в ВК