Задать свой вопрос
*более 50 000 пользователей получили ответ на «Решим всё»
Задача 37094
...
Условие
vk175246894
2019-05-15 20:08:29
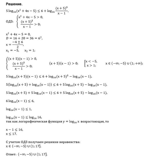
Решите неравенство
5log(16)(x^2+4x-5) ≤ 6+ log(16)(x+5)^5/(x-1)
предмет не задан
2290
Решение
u821511235
2019-05-15 21:07:31
★
Написать комментарий
Категория
ЕГЭ по Математике (проф.)
задание 15 (неравенство)
Меню
Решим всё
Найти задачу
Категории
Статьи
Тесты
Архив задач
Присоединяйся в ВК