Задать свой вопрос   *более 50 000 пользователей получили ответ на «Решим всё»

Задача 37072 Решить неравенство...

Условие

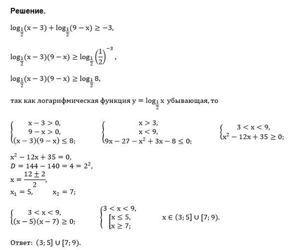
Решить неравенство log(1/2)(x-3)+log(1/2)(9-x) больше или равно -3

математика 10-11 класс 12088

Все решения

ОДЗ:
{x-3>0 ⇒ x > 3
{9-x >0 ⇒ x < 9

ОДЗ: х ∈ (3;9)

Заменим сумму логарифмов логарифмом произведения.

Равенство

[b]log_(1/2)(x-3)+log_(1/2)(9-x)=log_(1/2)(x-3)*(9-x)[/b]

верно только на ОДЗ первоначального уравнения, т.е [b]при х ∈ (3;9)[/b]

Так как
-3=-3*1=-3*log_(1/2)(1/2)=log_(1/2)(1/2)^(-3)=log_(1/2)2^3=log_(1/2)8, то

данное неравенство принимает вид
log_(1/2)(x-3)*(9-x) ≥ log_(1/2)8

Логарифмическая функция с основанием 0 < (1/2) < 1 убывает,
поэтому

(x-3)*(9-x) ≤ 8

9x-27-x^2+3x-8 ≤ 0

x^2-12x+35 ≥ 0

D=4

корни 5 и 7

x ≤ 5 или x ≥ 7

С учетом ОДЗ получаем о т в е т.

[b](3;5] U [7;9)[/b]

Написать комментарий

Категория

Меню

Присоединяйся в ВК