Задать свой вопрос   *более 50 000 пользователей получили ответ на «Решим всё»

Задача 37061 Вычислить несобственный интеграл или...

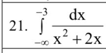
Условие

Вычислить несобственный интеграл или установить его расходимость. ПО ПРИЗНАКУ СРАВНЕНИЯ

математика ВУЗ 709

Решение

Выделяем полный квадрат
x^2+2x=x^2+2x+1-1=(x+1)^2-1

∫^(-3)_(- ∞ )dx/(x^2+2x)= ∫^(-3)_(- ∞ )dx/((x+1)^2-1)=

=(1/2)ln|(x+1-1)/(x+1+1)|^(-3)_(- ∞ )=

=(1/2)ln|(-3)/(-3+2)|- (1/2) lim_(A → - ∞ )ln|(A+1-1)/(A+1+1)|=

=(1/2)ln3 - (1/2) lnlim_(A → - ∞ )|(A/(A+2)|=

=(1/2)ln3-(1/2)ln1=

=(1/2)ln3-0= (1/2) ln3 - сходится

Написать комментарий

Меню

Присоединяйся в ВК