Задать свой вопрос
*более 50 000 пользователей получили ответ на «Решим всё»
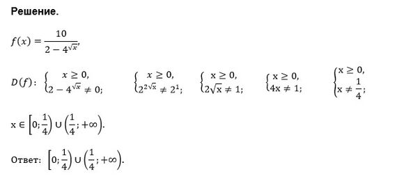
Задача 37014
f(x)= 10/2- 4^ sqrt(x) Найти область...
Условие
vk435148418
2019-05-13 19:20:03
f(x)= 10/2- 4^ sqrt(x)
Найти область определения функции
математика 10-11 класс
1185
Все решения
u821511235
2019-05-13 19:57:43
Написать комментарий
Меню
Решим всё
Найти задачу
Категории
Статьи
Тесты
Архив задач
Присоединяйся в ВК