Задать свой вопрос   *более 50 000 пользователей получили ответ на «Решим всё»

Задача 3696 Найти уравнение прямой, принадлежащей...

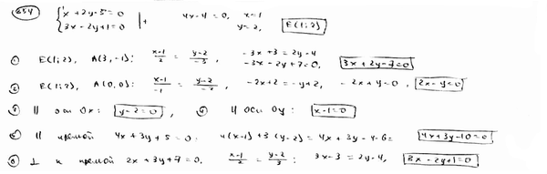
Условие

Найти уравнение прямой, принадлежащей пучку прямых альфа(x+2y-5)+бета(3x-2y+1)=0 и
1) Проходящей через точку А(3; -1);
2) Проходящей через начало координат;
3) Параллельной оси Ox;
4) Параллельной оси Oy;
5) Параллельной прямой 4x+3y+5=0;

математика ВУЗ 7973

Решение



Ответ: В решение

Написать комментарий

Меню

Присоединяйся в ВК