Задать свой вопрос   *более 50 000 пользователей получили ответ на «Решим всё»

Задача 3693 Составить уравнение прямой, которая...

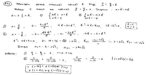
Условие

Составить уравнение прямой, которая проходит через точку С(1; 1) и отсекает от координатного угла треугольник с площадью, равно 2.

математика ВУЗ 14271

Решение



Ответ: В решение

Написать комментарий

Меню

Присоединяйся в ВК