Задать свой вопрос
*более 50 000 пользователей получили ответ на «Решим всё»
Задача 36923
...
Условие
nstk_a
2019-05-11 22:13:17
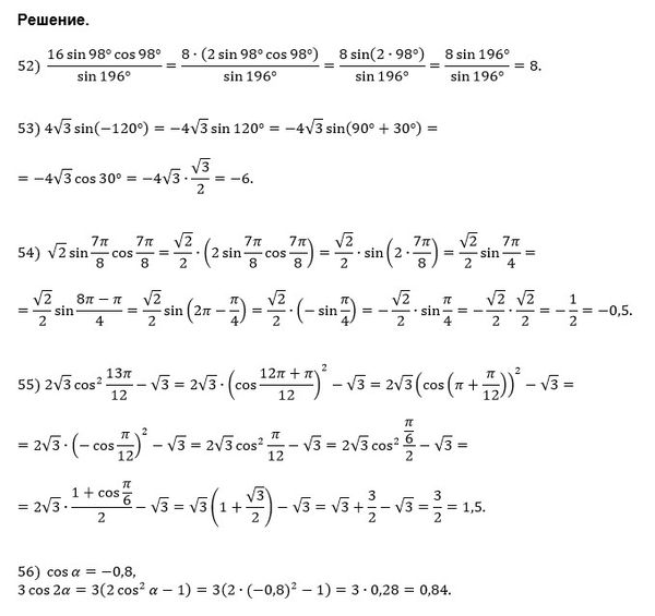
1)16sin98 ° * cos98 ° / sin196 °
2) 4sqrt(3)sin(-120 ° )
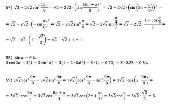
3)sqrt(2)sin7π/8*cos7π/8
математика 10-11 класс
13360
Все решения
u821511235
2019-05-12 01:39:43
Написать комментарий
Меню
Решим всё
Найти задачу
Категории
Статьи
Тесты
Архив задач
Присоединяйся в ВК