Задать свой вопрос
*более 50 000 пользователей получили ответ на «Решим всё»
Задача 36919
...
Условие
vk478935372
2019-05-11 19:37:09
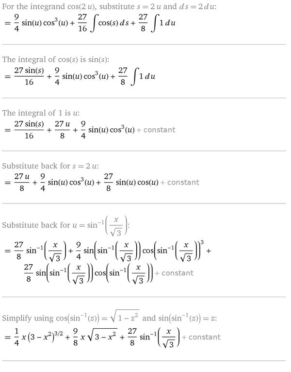
∫ (3-х^2)^(3/2)
математика ВУЗ
632
Все решения
slava191
2019-05-11 20:28:16
Написать комментарий
Меню
Решим всё
Найти задачу
Категории
Статьи
Тесты
Архив задач
Присоединяйся в ВК