Задать свой вопрос   *более 50 000 пользователей получили ответ на «Решим всё»

Задача 36906 ...

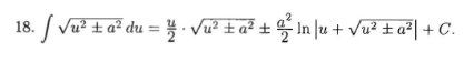
Условие

Найти интеграл
∫ sqrt(x^2+3) dx

математика ВУЗ 1054

Все решения

Методом интегрирования по частям получена формула, которая
есть в таблице.
В данном задании
a^2=3
x=u
± заменяем только на +

Написать комментарий

Меню

Присоединяйся в ВК