Задать свой вопрос   *более 50 000 пользователей получили ответ на «Решим всё»

Задача 36903 ...

Условие

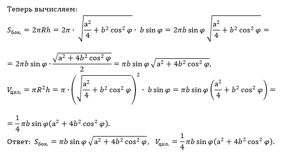
4. В нижнем основании цилиндра проведена хорда, длина которой равна а. Отрезок b, который соединяет центр верхнего основания с серединой проведенной хорды, образует с плоскостью основания угол φ . Определить боковую поверхность и объем цилиндра.

математика 10-11 класс 10813

Решение

Написать комментарий

Меню

Присоединяйся в ВК