Задать свой вопрос
*более 50 000 пользователей получили ответ на «Решим всё»
Задача 36893
Добрый день, помогите, пожалуйста,...
Условие
vk221597205
2019-05-11 11:07:20
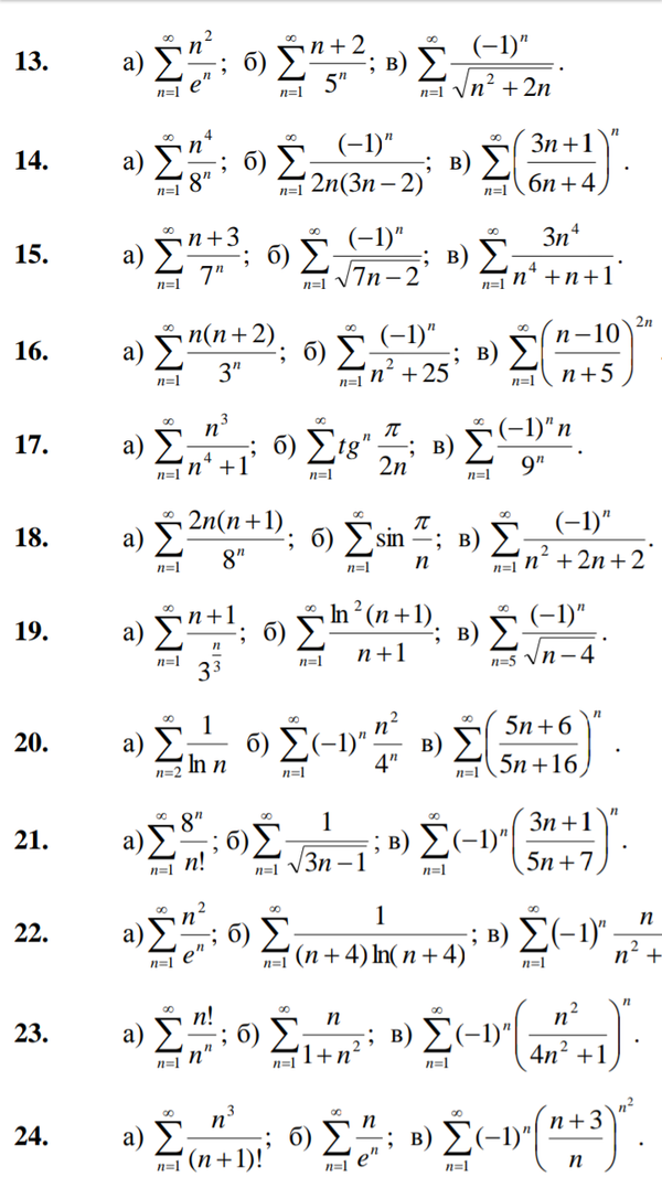
Добрый день, помогите, пожалуйста, исследовать числовые ряды на сходимость под 19
математика ВУЗ
652
О решение...
На нашем сайте такое бывает редко, но решение к данной задаче еще никто не написал.
Что Вы можете сделать?
Выставите данный вопрос вновь. Перейдите на
главную страницу
.
Найдите похожую задачу. Используйте
поиск
.
Написать комментарий
Меню
Решим всё
Найти задачу
Категории
Статьи
Тесты
Архив задач
Присоединяйся в ВК