Задать свой вопрос
*более 50 000 пользователей получили ответ на «Решим всё»
Задача 36891
...
Условие
vk350751477
2019-05-11 10:49:29
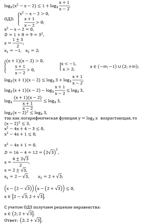
log3(x^2-x-2) ≤ 1+log3 x+1/x-2
математика 10-11 класс
15206
Все решения
u821511235
2019-05-11 12:32:57
Написать комментарий
Меню
Решим всё
Найти задачу
Категории
Статьи
Тесты
Архив задач
Присоединяйся в ВК