Задать свой вопрос
*более 50 000 пользователей получили ответ на «Решим всё»
Задача 36890
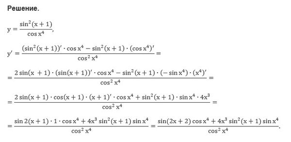
y=in^(2)(x+1)/cosax^(4)...
Условие
allk
2019-05-11 10:30:26
y=in^(2)(x+1)/cosax^(4) продифференцировать данные функции
математика ВУЗ
771
Решение
u821511235
2019-05-11 11:55:01
★
Написать комментарий
Меню
Решим всё
Найти задачу
Категории
Статьи
Тесты
Архив задач
Присоединяйся в ВК