Задать свой вопрос   *более 50 000 пользователей получили ответ на «Решим всё»

Задача 3688 Дана функция f (x, y)=x^2–y^2–16....

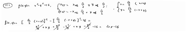
Условие

Дана функция f (x, y)=x^2–y^2–16. Определить выражение этой функции в новой системе координат, если координатные оси повернуты на угол –45 градусов.

математика ВУЗ 2129

Решение



Ответ: 2xy-16

Написать комментарий

Меню

Присоединяйся в ВК