Задать свой вопрос
*более 50 000 пользователей получили ответ на «Решим всё»
Задача 36875
...
Условие
allk
2019-05-10 21:45:59
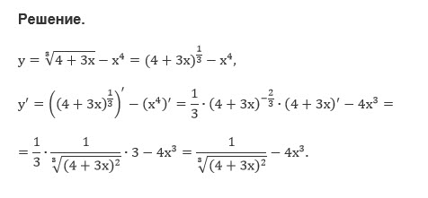
y=∛4+3x- χ 4 продифференцировать данные функции
математика ВУЗ
745
Решение
u821511235
2019-05-11 06:46:43
★
Написать комментарий
Меню
Решим всё
Найти задачу
Категории
Статьи
Тесты
Архив задач
Присоединяйся в ВК