Задать свой вопрос   *более 50 000 пользователей получили ответ на «Решим всё»

Задача 36862 ...

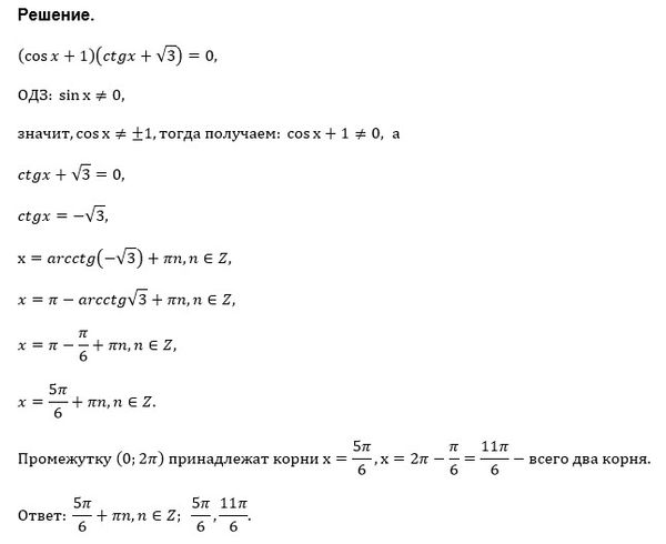
Условие

Решить уравнение и сколько корней принадлежит промежутку (0;2pi) круглые скобки
(cos(x)+1)*(ctg(x)+√3)=0

математика 10-11 класс 1998

Решение

Написать комментарий

Меню

Присоединяйся в ВК