Задать свой вопрос   *более 50 000 пользователей получили ответ на «Решим всё»

Задача 3686 Даны последовательные вершины однородной...

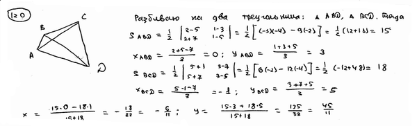
Условие

Даны последовательные вершины однородной четырехугольной пластинки A(2; 1), B(5; 3), C(-1; 7), D(-7; 5). Определить координаты ее центра масс.

математика ВУЗ 3380

Решение



Ответ: 45/11

Написать комментарий

Меню

Присоединяйся в ВК