Задать свой вопрос   *более 50 000 пользователей получили ответ на «Решим всё»

Задача 36852 ...

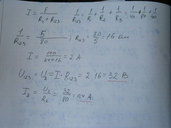
Условие

На схеме дан генератор эдс с ε = 100 В. Сопротивление участков: R1=R3=40 Om, R2=80 Om, R4 =34 Om. Найдите силу тока, текущего через сопротивление R2 и падение напряжения на этом сопротивлении. Сопротивление генератора не учитывать.

физика ВУЗ 3252

Решение

Написать комментарий

Меню

Присоединяйся в ВК