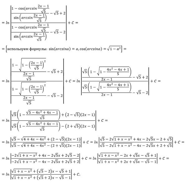
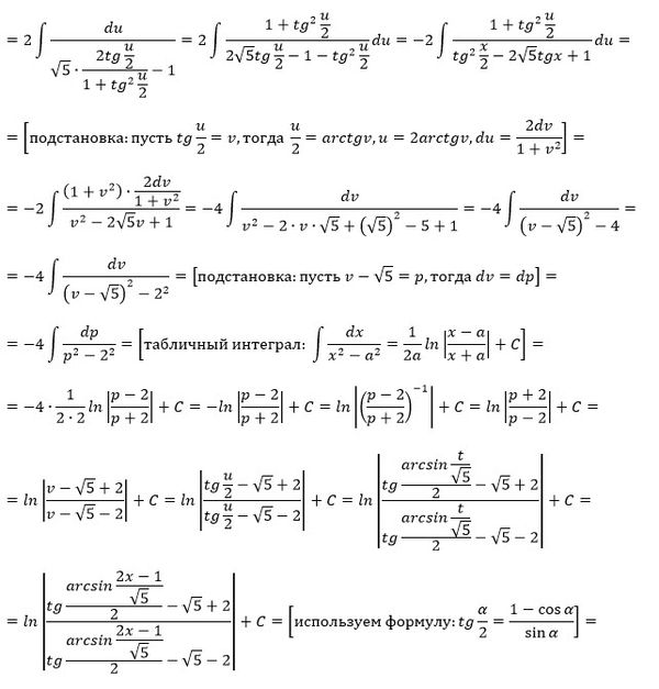
1/(x-1)=t
x-1=1/t
d(x-1)=d(1/t) ⇒ dx=-dt/t^2
x-1=1/t ⇒ x=(1/t) +1
1+х-х^2=1+(1/t) +1 -((1/t)+1)^2 ⇒
1+x-x^2=1-(1/t)-(1/t^2)=(t^2-t-1)/t^2
Тогда
∫ dx/(x-1)*sqrt(1+x-x^2)= ∫ (-dt/t^2)/ [b]([/b](1/t)*sqrt(t^2-t-1)/t [b])[/b]=
=- ∫ dt/(t^2-t-1)=
выделяем полный квадрат
t^2-t+1=(t-(1/2))^2-(5/4)
=- ∫ dt/sqrt((t-(1/2))^2-(5/4))= [b]- ln|t - (1/2)+sqrt(t^2-t-1)|+С[/b], где
t=1/(x-1)
=-ln|1/(x-1) -(1/2) + sqrt((1/(x-1))^2-(1/(x-1))-1)|+C=
=-ln|(1/(x-1) - (1/2) + sqrt((1-(x-1)-(x-1)^2)/(x-1))|+C=
= [b]-ln|1/(x-1) - (1/2) + sqrt((1+x-x^2)/(x-1))|+C
[/b]

