№ 4 Два цилиндра имеют равные основания . Объем первого цилиндра равен 7.5 дм3, а его высота 21 см. Высота второго цилиндра равна 7 см. Чему равен объем второго цилиндра.
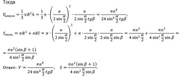
№ 5 Определите объем и полную поверхность конуса , если в его основании хорда а стягивает дугу α , а угол между образующей и высотой конуса равен β .

