Задать свой вопрос   *более 50 000 пользователей получили ответ на «Решим всё»

Задача 36845 № 2 Образующая конуса равна 14 см, угол...

Условие

№ 2
Образующая конуса равна 14 см, угол при вершине осевого сечения равен 60° . Найдите объем и полную поверхность конуса.
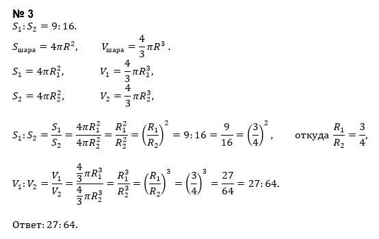
№ 3
Площади поверхностей двух шаров относятся как 9:16. Как относятся объемы шаров?

математика ВУЗ 12704

Решение

Написать комментарий

Меню

Присоединяйся в ВК