Задать свой вопрос
*более 50 000 пользователей получили ответ на «Решим всё»
Задача 36841
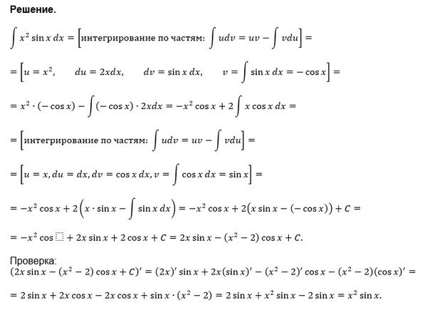
Найдите указанные неопределенные...
Условие
vk81772766
2019-05-08 23:50:48
Найдите указанные неопределенные интегралы. Полученные результаты проверьте дифференцированием
математика ВУЗ
860
Решение
u821511235
2019-05-09 14:55:19
★
Написать комментарий
Меню
Решим всё
Найти задачу
Категории
Статьи
Тесты
Архив задач
Присоединяйся в ВК