Задать свой вопрос
*более 50 000 пользователей получили ответ на «Решим всё»
Задача 36840
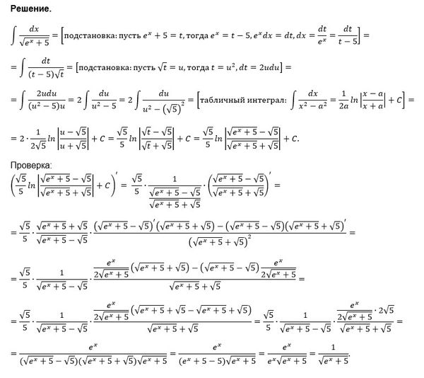
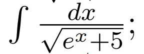
Найдите указанные неопределенные...
Условие
vk81772766
2019-05-08 23:50:34
Найдите указанные неопределенные интегралы. Полученные результаты проверьте дифференцированием
математика ВУЗ
683
Решение
u821511235
2019-05-09 12:03:02
★
Написать комментарий
Меню
Решим всё
Найти задачу
Категории
Статьи
Тесты
Архив задач
Присоединяйся в ВК