Задать свой вопрос
*более 50 000 пользователей получили ответ на «Решим всё»
Задача 36832
...
Условие
radostmalchikov
2019-05-08 19:06:50
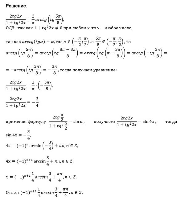
2tg2x/(1+ tg^(2)2x = 2/π* arctg(tg5π/8)
математика 10-11 класс
3182
Решение
u821511235
2019-05-08 20:59:14
★
Написать комментарий
Меню
Решим всё
Найти задачу
Категории
Статьи
Тесты
Архив задач
Присоединяйся в ВК