Задать свой вопрос   *более 50 000 пользователей получили ответ на «Решим всё»

Задача 3683 В полярной системе координат даны две...

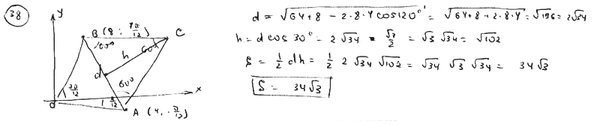
Условие

В полярной системе координат даны две вершины правильного треугольника А(4; -p /12), B(8; 7p /12). Определить его площадь.

математика ВУЗ 5249

Решение



Ответ: 34sqrt(3)

Ошибки в решение (1)
Вопросы к решению (1)

Написать комментарий

Меню

Присоединяйся в ВК