Задать свой вопрос
*более 50 000 пользователей получили ответ на «Решим всё»
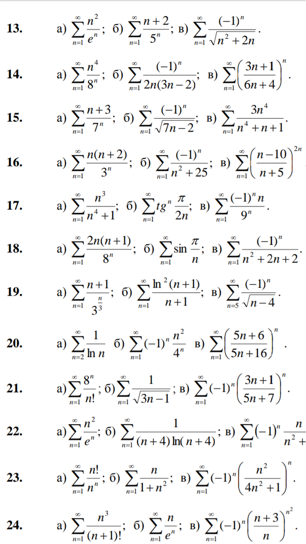
Задача 36810
Помогите, пожалуйста, исследовать...
Условие
vk221597205
2019-05-08 11:38:19
Помогите, пожалуйста, исследовать числовые ряды на сходимость под номером 19 а,б,в
математика ВУЗ
807
О решение...
На нашем сайте такое бывает редко, но решение к данной задаче еще никто не написал.
Что Вы можете сделать?
Выставите данный вопрос вновь. Перейдите на
главную страницу
.
Найдите похожую задачу. Используйте
поиск
.
Написать комментарий
Меню
Решим всё
Найти задачу
Категории
Статьи
Тесты
Архив задач
Присоединяйся в ВК