Задать свой вопрос
*более 50 000 пользователей получили ответ на «Решим всё»
Задача 36793
Решите неравенство...
Условие
vk214676997
2019-05-07 15:00:57
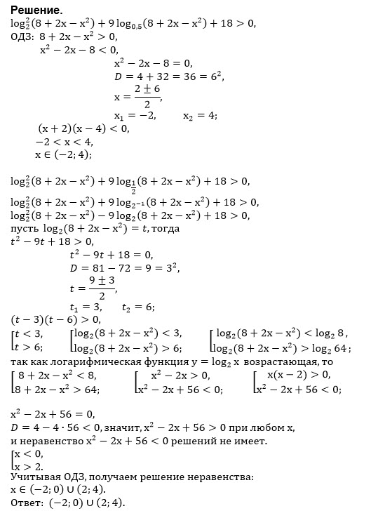
Решите неравенство log2^2(8+2x−x^2)+9log0,5(8+2x−x^2)+18>0
математика 10-11 класс
17493
Все решения
u821511235
2019-05-07 21:02:23
Написать комментарий
Меню
Решим всё
Найти задачу
Категории
Статьи
Тесты
Архив задач
Присоединяйся в ВК