Задать свой вопрос
*более 50 000 пользователей получили ответ на «Решим всё»
Задача 36791
...
Условие
drakulaura
2019-05-07 14:30:09
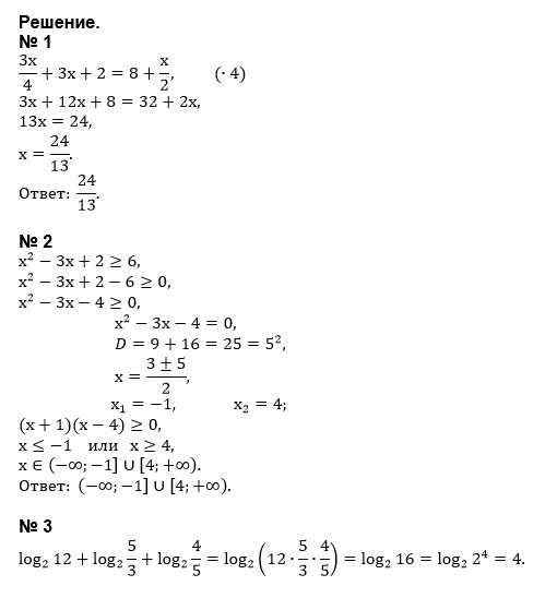
1. 3x/4 +3x+2 = 8+x/2
2. x^2-3x+2 ≥ 6
3. log(2)12 + log(2)5/3 + log(2)4/5 =
математика 10-11 класс
880
Решение
u821511235
2019-05-07 15:27:45
★
Написать комментарий
Меню
Решим всё
Найти задачу
Категории
Статьи
Тесты
Архив задач
Присоединяйся в ВК