Задать свой вопрос
*более 50 000 пользователей получили ответ на «Решим всё»
Задача 36774
...
Условие
vk148511207
2019-05-06 18:36:47
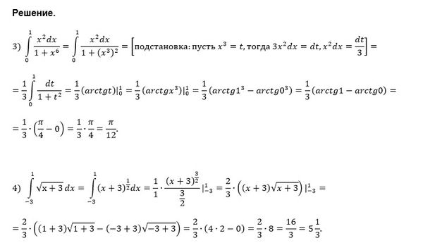
Решите методом интегрирования или методом подставки
1∫0 x^2dx/(1+x^6)
1∫ -3 sqrt(x+3)dx
математика ВУЗ
944
Решение
u821511235
2019-05-06 20:49:58
★
Написать комментарий
Меню
Решим всё
Найти задачу
Категории
Статьи
Тесты
Архив задач
Присоединяйся в ВК