Задать свой вопрос
*более 50 000 пользователей получили ответ на «Решим всё»
Задача 36773
...
Условие
vk148511207
2019-05-06 18:36:27
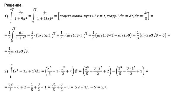
Решите методом интегрирования или методом подставки
sqrt(3) ∫0 dx/(1+9x^2)
2 ∫ 1 (x^4 -3x+1)dx
математика ВУЗ
842
Все решения
u821511235
2019-05-06 20:29:45
Написать комментарий
Меню
Решим всё
Найти задачу
Категории
Статьи
Тесты
Архив задач
Присоединяйся в ВК