Задать свой вопрос   *более 50 000 пользователей получили ответ на «Решим всё»

Задача 36766 ...

Условие

1) sqrt(2^(x) -a) + (a-2)/sqrt(2^(x) -a) = 1

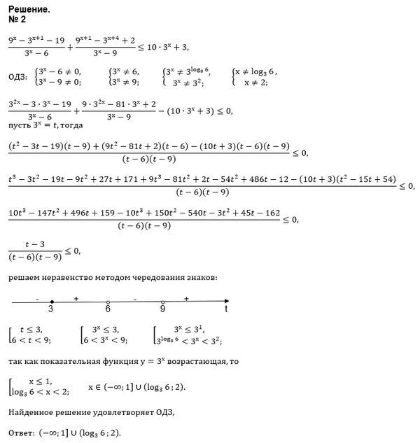
2) (9^x - 3^(x+1) -19)/(3^x-6) + (9^(x+1)-3^(x+4) +2)/(3^x - 9) ≤ 10*3^x +3

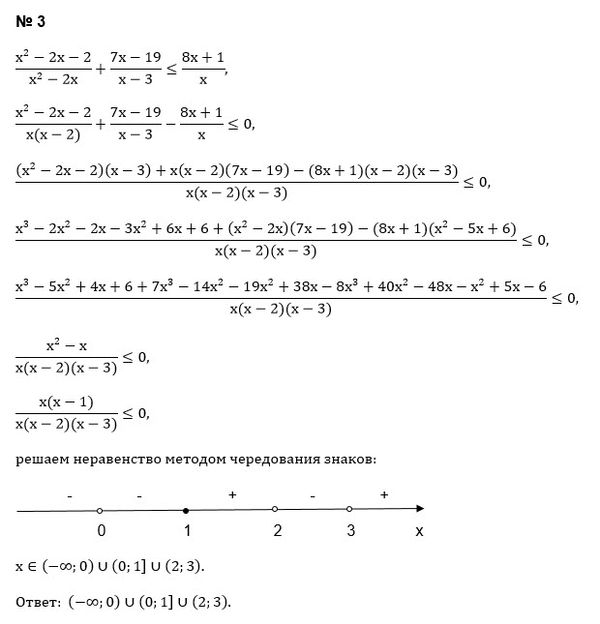
3) (x^2 - 2x -2)/(x^2-2x) + (7x-19)/(x-3) ≤ (8x+1)/x

математика 10-11 класс 2476

Решение

Написать комментарий

Меню

Присоединяйся в ВК