Задать свой вопрос
*более 50 000 пользователей получили ответ на «Решим всё»
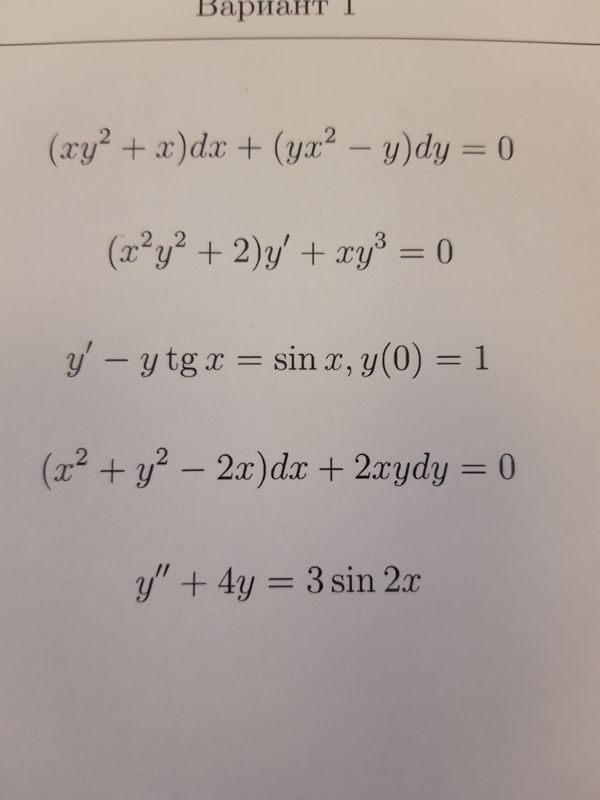
Задача 36762
(X^2 y^2+2)y'+xy^3=0...
Условие
vk333010885
2019-05-06 10:56:18
(X^2 y^2+2)y'+xy^3=0
математика ВУЗ
546
О решение...
На нашем сайте такое бывает редко, но решение к данной задаче еще никто не написал.
Что Вы можете сделать?
Выставите данный вопрос вновь. Перейдите на
главную страницу
.
Найдите похожую задачу. Используйте
поиск
.
Написать комментарий
Меню
Решим всё
Найти задачу
Категории
Статьи
Тесты
Архив задач
Присоединяйся в ВК