Задать свой вопрос   *более 50 000 пользователей получили ответ на «Решим всё»

Задача 36751 а) Решить уравнение...

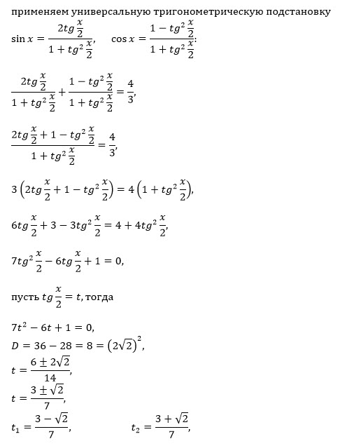
Условие

а) Решить уравнение [m]3cos\frac{x}{4}cos\frac{x}{2}sin\frac{x}{4} = \frac{1-ctgx}{1-ctg^2x}[/m]

б) Укажите корни, принадлежащие интервалу (-2Pi; -3Pi/2)

математика 10-11 класс 3494

Все решения

Написать комментарий

Категория

Меню

Присоединяйся в ВК