Задать свой вопрос
*более 50 000 пользователей получили ответ на «Решим всё»
Задача 36741
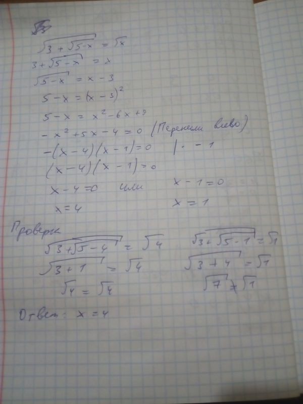
sqrt(3+sqrt(5-x))= sqrt(x)...
Условие
vk288952222
2019-05-05 17:22:40
sqrt(3+sqrt(5-x))= sqrt(x)
математика 10-11 класс
919
Решение
schrodinger_w
2019-05-05 20:38:15
★
Написать комментарий
Меню
Решим всё
Найти задачу
Категории
Статьи
Тесты
Архив задач
Присоединяйся в ВК