Задать свой вопрос   *более 50 000 пользователей получили ответ на «Решим всё»

Задача 36661 ...

Условие

решить интегралы
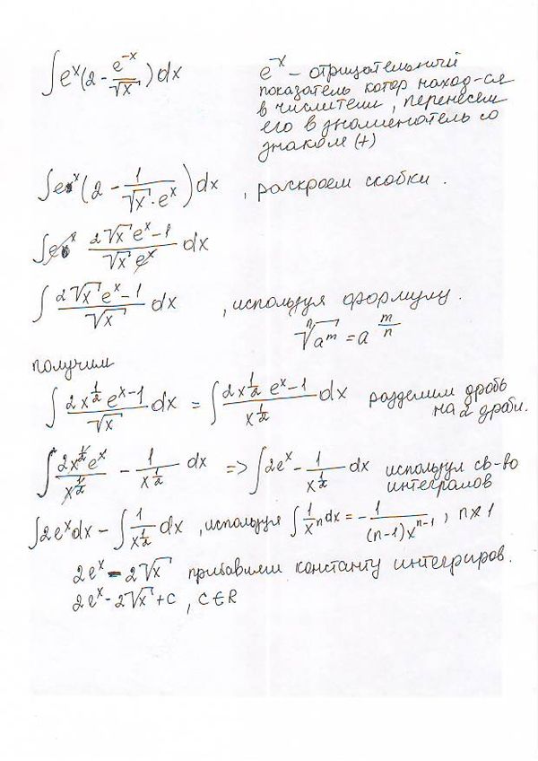
а) ∫ e^x(2-e^(-x)/sqrt(x) )dx

математика 1537

Все решения

a)
∫ e^(x)*(2-(e^(-x))/sqrt(x))dx=
раскрываем скобки; применяем свойство интегрирования: интеграл от суммы равен сумме интегралов

= ∫ 2e(x)dx- ∫ dx/sqrt(x)= 2e^(x)-2sqrt(x)+C

б)
Табличный интеграл.
См. приложение

в)
замена
3e^(x)+1=t
3e^(x)=t-1

e^(x)=(t-1)/3

x=ln(t-1)/3

dx=dt/(t-1)


∫ (2*(t-1)/3)-1)dt/t(t-1)=(1/3) ∫ (2t-5)dt/(t-1)*t - неправильная дробь, раскладываем на простейшие дроби

а)

Написать комментарий

Меню

Присоединяйся в ВК