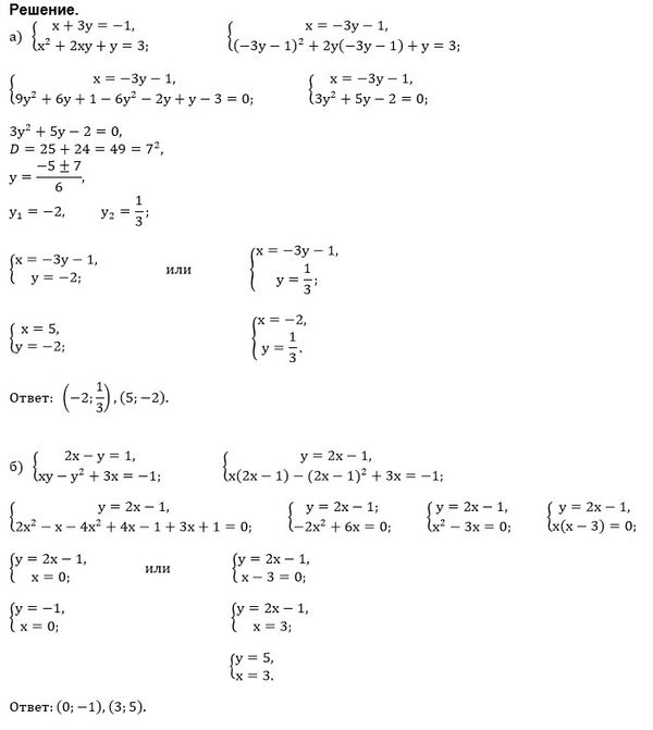
а) x+3y=-1;
x^2+2xy+y=3;
б) 2x-y=1;
xy-y^2+3x=-1;
в) 2x+y-11;
2x+5y-y^2-6=0;
г) 2x^2-3y^2-5x-2y=26;
x-y=4;
д) 4x^2-9y^2+x-40y-19=0;
2x-3y=5;
е) 3x^2+y^2+8x+13y=5;
x-y+2=0


Из первого уравнения выражаем х=-3у-1
и подставляем во второе.
Получаем квадратное уравнение.