Задать свой вопрос   *более 50 000 пользователей получили ответ на «Решим всё»

Задача 36612 Вычислить площадь в полярных координатах...

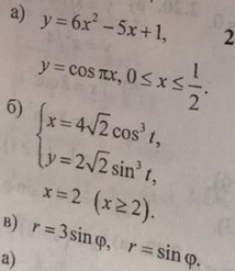
Условие

Вычислить площадь в полярных координатах

математика ВУЗ 682

Все решения

в) и то и другое окружность, первая радиусом 3, вторая радиусом 1.
1)S= 0,5∫r^(2)dφ от 0 до π

0,5*9∫sin^(2)φ dφ=0,5(φ/2-(sin2φ)/4)=9π/4

2)0,5*∫sin^(2)φ dφ=π/4

Вычитаем из большей меньшую, если нужна площадь, ограниченная этими линиями.

Написать комментарий

Меню

Присоединяйся в ВК