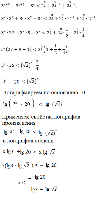
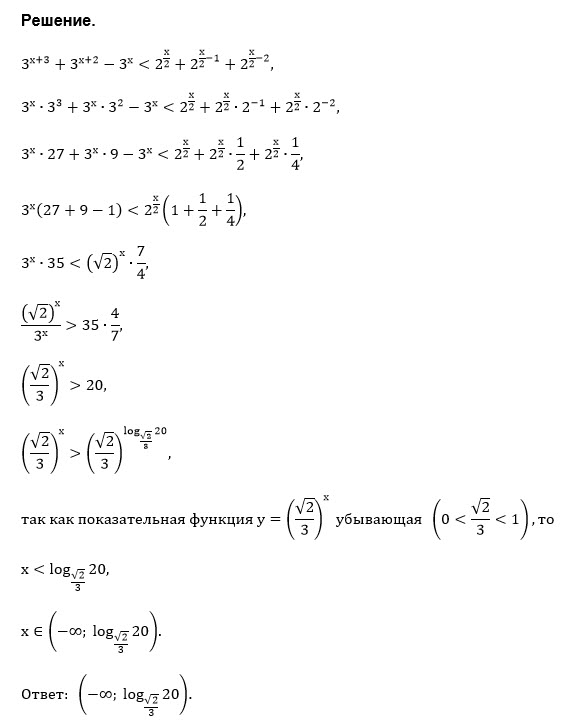
Решить неравенство (ЕГЭ профиль, 15 номер)
Скажите пожалуйста, вы можете решить это неравенство, чтобы ответ был х< - lg20/lg3-lg√2 ? В ответах написано, ответ может быть в другом виде, но все же хочется понять, как они до такого дошли
Это тот же самый ответ, только записан с помощью десятичного логарифма. Сейчас сделаю добавление к решению - распишу, как такой ответ получается.